Bộ 3 Galaxy S10 đạt chứng nhận tại FCC

Vào ngày 20/2 tới đây, Samsung sẽ trình làng bộ 3 Galaxy S10 trong sự kiện Samsung Unpacked. Những smartphone này dự kiến sẽ lên kệ từ ngày 8/3 và mới đây, chúng đã đạt chứng nhận tại FCC.
* Lưu ý: Mức giá Galaxy S10, hình ảnh và các thông số kỹ thuật chưa phải là chính thức và phiên bản Galaxy S10 giá rẻ cũng chưa xuất hiện rõ ràng.
Tại FCC, những model Galaxy S10 được chứng nhận gồm SM-G970U, SM-G973U và SM-G975U. Theo thứ tự, các model trên sẽ là của Galaxy S10E, Galaxy S10 và Galaxy S10+.

Chứng nhận của FCC cũng cho thấy máy sẽ tích hợp kết nối Bluetooth LE, NFC và MST (truyền dữ liệu an toàn bằng từ tính) – cho phép ứng dụng Samsung Pay có thể thanh toán ở các cửa hàng mà máy tính tiền không được trang bị công nghệ NFC.

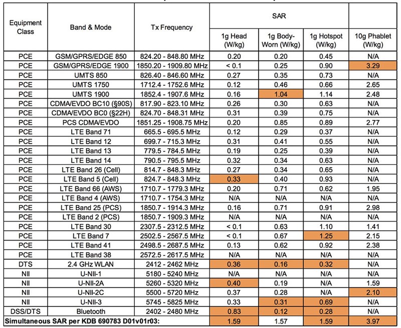
Ngoài ra, bộ 3 flagship 2019 của Samsung cũng sẽ hỗ trợ Wi-Fi 6 (802.11ax). Đây là công nghệ Wi-Fi mới nhất, giúp tiêu thụ ít năng lượng hơn và cung cấp tốc độ cao hơn. Cuối cùng, biểu đồ trong tài liệu FCC còn cho thấy Galaxy S10 sẽ hỗ trợ tất cả các băng tần 4G LTE từ 4 nhà mạng lớn ở Hoa Kỳ.
Nguồn: Phonearena
ĐẶT GẠCH SIÊU PHẨM GALAXY S MỚI
Xem thêm: Galaxy S10E lộ ảnh báo chí trước ngày ra mắt



ĐĂNG NHẬP
Hãy đăng nhập để comment, theo dõi các hồ sơ cá nhân và sử dụng dịch vụ nâng cao khác trên trang Tin Công Nghệ của
Thế Giới Di Động
Tất cả thông tin người dùng được bảo mật theo quy định của pháp luật Việt Nam. Khi bạn đăng nhập, bạn đồng ý với Các điều khoản sử dụng và Thoả thuận về cung cấp và sử dụng Mạng Xã Hội.