Hack não: Nghỉ lâu câu lại kiến thức, mời bạn làm thử 12 câu hỏi hình học căn bản của học sinh trung học, ngại gì mà không vào

Dạo trên BuzzFeed mình thấy có một bài trắc nghiệm rất hay để kiểm tra lại kiến thức hình học bậc trung học, các bạn thử sức mình xem nhớ được bao nhiêu nhé!
Toán học là một ngành khoa học, một môn học đòi hỏi chúng ta phải vận dụng khả năng suy luận và sự thông minh của trí óc. Nó hầu như có thể giải quyết mọi vấn đề trong xã hội, từ kinh tế, khoa học, kỹ thuật, cho đến công nghệ và nhiều thứ khác nữa.
Do đó, nhằm tạo thêm nhiều nội dung mới cho bạn đọc bên cạnh nhưng thông tin công nghệ truyền thống, team mình đã tìm và đăng thêm nhưng bài đố vui về tính toán đơn giản để giúp bạn đọc giải trí, thư giãn và có thể tương tác được nhiều hơn.
Câu 1: Hình nào dưới đây là một tia?

Câu 2: Hình nào dưới đây biểu thị 2 đường thẳng song song?

Câu 3: Hình nào dưới đây là hình thang?

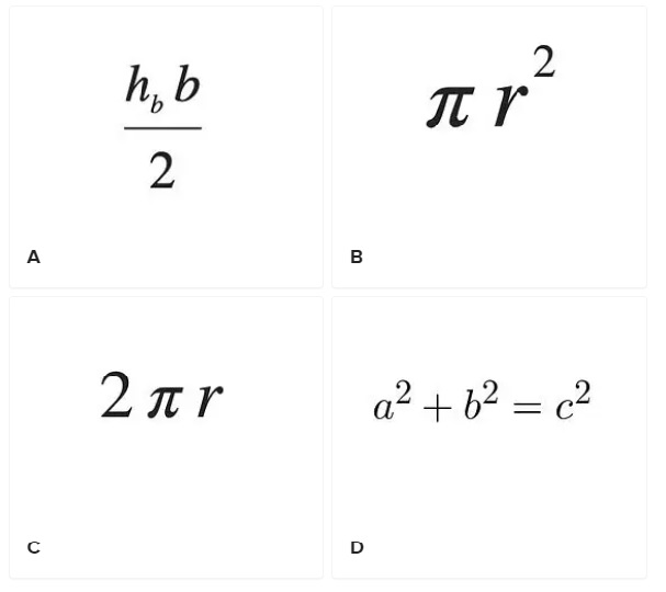
Câu 4: Công thức nào dùng để tính diện tích hình tròn?

Câu 5: Hình nào biểu thị bán kính của hình tròn?

Câu 6: Xem hình dưới, nhận định nào sau đây là sai?

A. Hình trên là đa giác đều.
B. Hình trên là lục giác đều.
C. Đa giác có các góc trong bằng nhau.
D. Đa giác này có chứa góc nhọn.
Câu 7: Hình nào nào biểu thị cho góc tù?

Câu 8: Thế nào là 2 góc kề bù?
A. 2 góc có tổng là 90 độ.
B. 2 góc có tổng là 180 độ.
C. 2 góc đối diện bằng nhau.
D. 2 góc đối diện có tổng là 90 độ.
Câu 9: Giá trị của góc X hình bên dưới là bao nhiêu?

A. 90 độ.
B. 70 độ.
C. 160 độ.
D. Không có đáp án.
Câu 10: Giá trị của góc Z trong hình bên dưới là bao nhiêu?

A. 35 độ.
B. 55 độ.
C. 125 độ.
D. 235 độ.
Câu 11: Ký tự nào đại diện cho cạnh huyền của hình tam giác vuông bên dưới?

Câu 12: "Tất cả hình vuông đều là hình chữ nhật, nhưng không phải hình chữ nhật nào cũng là hình vuông", nhận định này đúng hay sai?
A. Đúng.
B. Sai.
Bạn đã giải được chính xác bao nhiêu câu rồi? Cùng chia sẻ tại mục bình luận bên dưới nhé!
*Spoil đáp án: 1. A; 2. C; 3. C; 4. B; 5. A; 6. D; 7. A; 8. B; 9. B; 10. B; 11. C; 12. A.
Xem thêm: Tính năng bạn đang xài mỗi ngày này có khả năng làm lộ toàn bộ mật khẩu của bạn


ĐĂNG NHẬP
Hãy đăng nhập để comment, theo dõi các hồ sơ cá nhân và sử dụng dịch vụ nâng cao khác trên trang Tin Công Nghệ của
Thế Giới Di Động
Tất cả thông tin người dùng được bảo mật theo quy định của pháp luật Việt Nam. Khi bạn đăng nhập, bạn đồng ý với Các điều khoản sử dụng và Thoả thuận về cung cấp và sử dụng Mạng Xã Hội.